Thủ thuật
Hướng dẫn cách sử dụng hàm VAR ước tính phương sai dựa theo mẫu trong Excel
Hàm VAR trong Excel là hàm dùng để ước tính phương sai dựa trên mẫu cho trước. Bài viết dưới đây mình sẽ giúp các bạn làm rõ về cách sử dụng hàm này một cách đơn giản nhất nhé.
Hàm VAR có nghĩa là gì? Ứng dụng của hàm VAR trong Excel như thế nào?
Định nghĩa
Hàm VAR là một hàm của toán học dùng để tính phương sai dựa trên mẫu là một tập dữ liệu cho trước
- Thứ nhất, phương sai lớn: Cho chúng biết các số trong tập dữ liệu nằm cách xa giá trị trung bình và biến động lớn.
- Thứ hai, phương sai nhỏ: Cho chúng ta biết các số trong tập dữ liệu nằm gần giá trị trung bình và ít có sự biến động
- Thứ ba, phương sai bằng 0: Tất cả các giá trị trong một tập dữ liệu sẽ giống hệt nhau hoặc là không có sai số và tất cả các phương sai không bằng 0 sẽ là số dương.
Ứng dụng của hàm VAR trong Excel, như sau:
- Thứ nhất, tìm phương sai của một tập dữ liệu nhanh chóng.
- Thứ hai, có thể kết hợp với hàm khác trong Excel để hỗ trợ công việc.
- Thứ ba, giúp thao tác trong Excel chuyên nghiệp hơn.
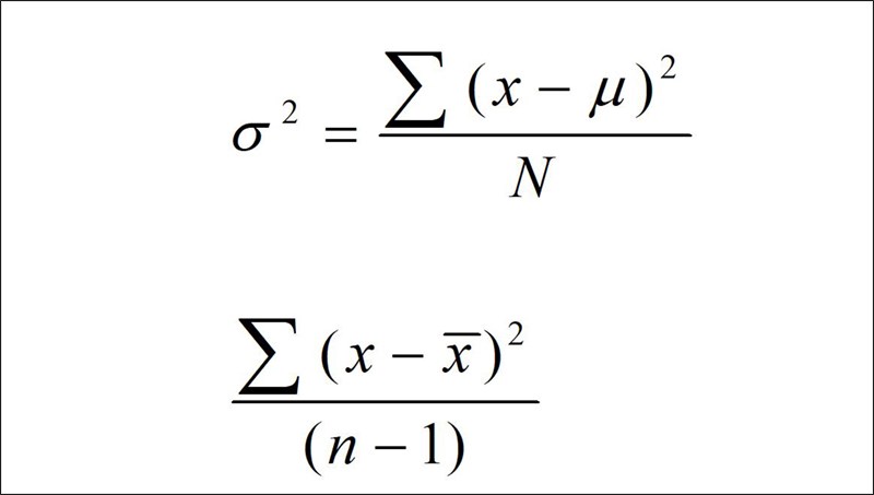
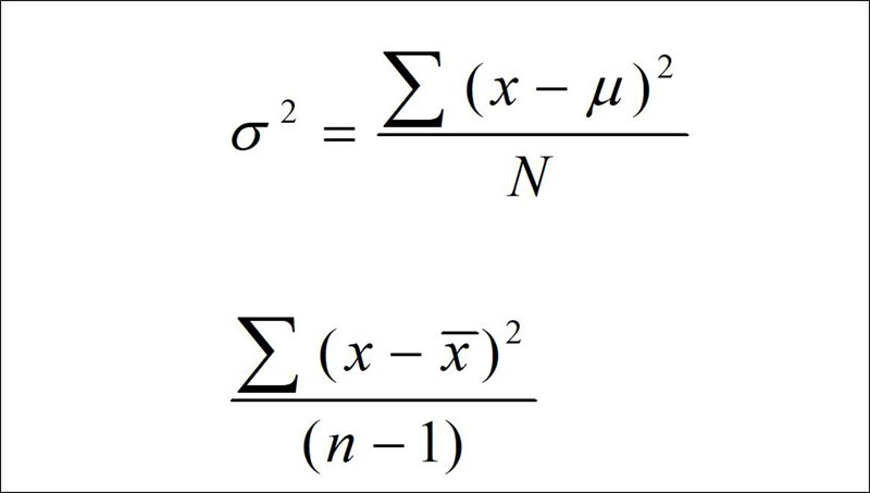
Công thức trong toán học

Công thức của hàm VAR sử dụng
Trong đó có:
- Thứ nhất, x là trung độ mẫu AVERAGE(number1,[number2],...)
- Thứ hai, n là kích thước mẫu.
Hướng dẫn cách sử dụng hàm VAR trong Excel
Cú pháp của hàm
Cú pháp hàm, như sau: =VAR(number1,[number2],...)
Trong đó có:
- Thứ nhất, Number1: Đó là đối số đầu tiên của số thứ nhất tương ứng với một mẫu trong một tập hợp.
- Thứ hai, Number2,...: Đó là các đối số dạng số từ 2 đến 255 tương ứng với một mẫu của một tập hợp.
Lưu ý:
- Thứ nhất, VAR giả định các đối số sẽ là một mẫu của tập hợp. Nếu dữ liệu của các bạn thể hiện toàn bộ tập hợp cần dùng hàm VARP để tính toán phương sai.
- Thứ hai, đối số có thể là số hoặc tên, mảng hoặc tham chiếu có chứa số.
- Thứ ba, nếu đối số là mảng hay tham chiếu, chỉ các số trong mảng hay tham chiếu đó mới được tính. Các ô trống, giá trị lô-gic, văn bản hoặc giá trị lỗi trong mảng hoặc tham chiếu sẽ bị bỏ qua.
- Thứ tư, các giá trị logic và trình bày số dạng văn bản mà bạn gõ trực tiếp vào danh sách các đối số sẽ được đếm.
- Thứ năm, các đối số là văn bản hay giá trị lỗi không thể chuyển đổi thành số sẽ khiến xảy ra lỗi.
- Thứ sáu, nếu bạn muốn đưa các giá trị lô-gic và các trình bày số dạng văn bản vào trong một tham chiếu như là một phần của tính toán hãy dùng hàm VARA.
Hướng dẫn cách sử dụng của hàm
Ví dụ: Các bạn ãy sử dụng hàm VAR để tìm kết quả phương sai độ bền của các số trong bảng sau.
Bước 1: Ở bảng dữ liệu ví dụ trên các bạn hãy nhập hàm như hình sau vào ô tham chiếu.

Hướng dẫn cách sử dụng hàm VAR
Bước 2: Bạn chọn nhấn phím Enter để hiển thị kết quả cuối cùng.

Nhấn chọn Enter để hiển thị kết quả.
Trên đây là toàn bộ những nội dung có liên quan về hướng dẫn cách sử dụng hàm VAR ước dược tính phương sai dựa theo mẫu trong Excel có ví dụ minh họa. Hy vọng bài viết sẽ giúp các bạn thực hiện được trong công việc cũng như học tập được dễ dàng và thuận lợi hơn nhé.
Tin công nghệ
Game
Đánh giá
Thủ thuật
Tư vấn
Khám phá
Tin khuyến mãi
Review - Video
PC DIY






Bình luận bài viết