Thủ thuật
Hướng dẫn cách sử dụng hàm STDEV tính độ lệch chuẩn trong Excel chi tiết
Hàm STDEV có trong Excel sẽ giúp các bạn nhanh chóng xác định được ngay độ lệch chuẩn của nó. Nếu các bạn vẫn chưa biết cách sử dụng hàm này như thế nào thì hãy cùng mình theo dõi bài viết sau để hiểu rõ hơn về cách thực hiện nhé.
Hàm STDEV có nghĩa là gì? Ứng dụng của hàm STDEV trong Excel như thế nào?
Hàm STDEV là một trong những hàm sử dụng để thống kê dùng để tính độ lệch chuẩn dựa trên mẫu và được sử dụng một cách rộng rãi trong Excel.
Ứng dụng của hàm STDEV trong Excel như sau:
- Thứ nhất, tính độ lệch chuẩn dựa trên mẫu số có sẵn nhanh chóng.
- Thứ hai, có thể kết hợp với hàm khác trong Excel để hỗ trợ công việc.
- Thứ ba, giúp thao tác trong Excel chuyên nghiệp hơn.
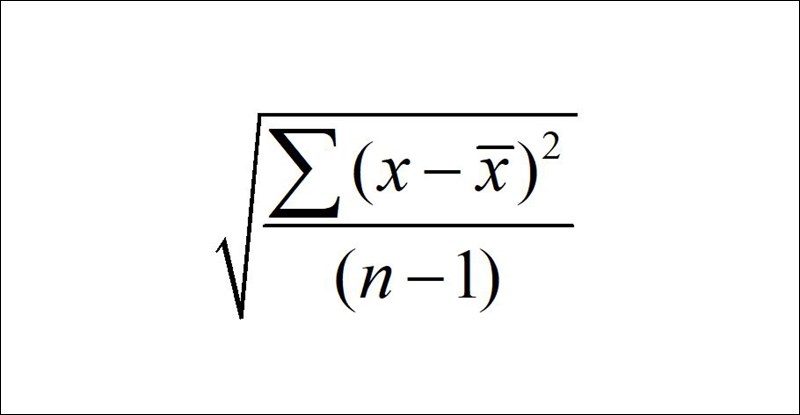
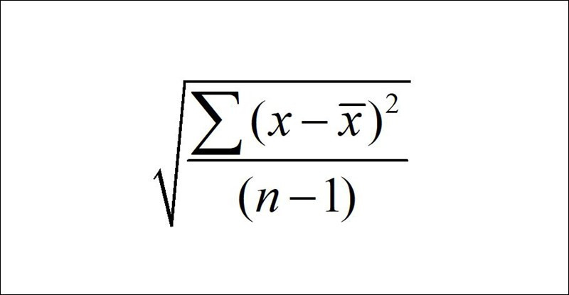
- Thứ tư, hàm STDEV sử dụng công thức sau đây trong toán học:
Hàm STDEV được sử dụng công thức sau đây trong toán học:

Công thức của hàm STDE
Trong đó có:
- Thứ nhất, x là mẫu average(number1,number2,…)
- Thứ hai, n là cỡ mẫu.
Hướng dẫn cách sử dụng hàm STDEV trong Excel
Cú pháp của hàm
Cú pháp hàm như sau: =STDEV(number1,[number2],…)
Trong đó có:
- Thứ nhất , Number1: Nghĩa là đối số dạng số đầu tiên tương ứng với mẫu tổng thể.
- Thứ hai, Number2,…: Nghĩa là đối số dạng số từ 2 đến 255 tương ứng với mẫu tổng thể. Các bạn có thể thay thế các giá trị riêng lẻ bằng 1 mảng đơn hoặc tham chiếu tới 1 mảng.
Hướng dẫn cách sử dụng hàm
Ví dụ: Các bạn hãy tính độ lệch chuẩn doanh thu của chi nhánh các cửa hàng qua các năm trong bảng dữ liệu sau:

Dữ liệu mẫu minh họa.
Bước 1: Ở bảng dữ liệu ví dụ trên các bạn nhập hàm =STDEV(D5:F5) vào ô tham chiếu "Độ lệch chuẩn" như hình nhé.

Nhập hàm như trên hình vào ô bảng tính
Bước 2: Bạn hãy nhấn phím Enter để hiển thị kết quả và dùng trỏ chuột kéo xuống để hiển thị cho các sản phẩm còn lại như hình.

Nhấn chọn Enter để hiển thị kết qủa.
Trên đây là nội dung bài viết mà mình muốn chia sẻ đến các bạn về hướng dẫn cách sử dụng hàm STDEV tính độ lệch chuẩn trong Excel chi tiết. Hy vọng bài viết sẽ giúp các bạn thực hiện được trong công việc cũng như học tập được nhanh chóng và hiệu quả nhé, hẹn gặp các bạn ở những bài viết tiếp theo.
Tin công nghệ
Game
Đánh giá
Thủ thuật
Tư vấn
Khám phá
Tin khuyến mãi
Review - Video
PC DIY






Bình luận bài viết